关于乌拉特前旗供电公司2023年三年及以上未用电客户电费核销的公示
乌拉特前旗广大电力客户:
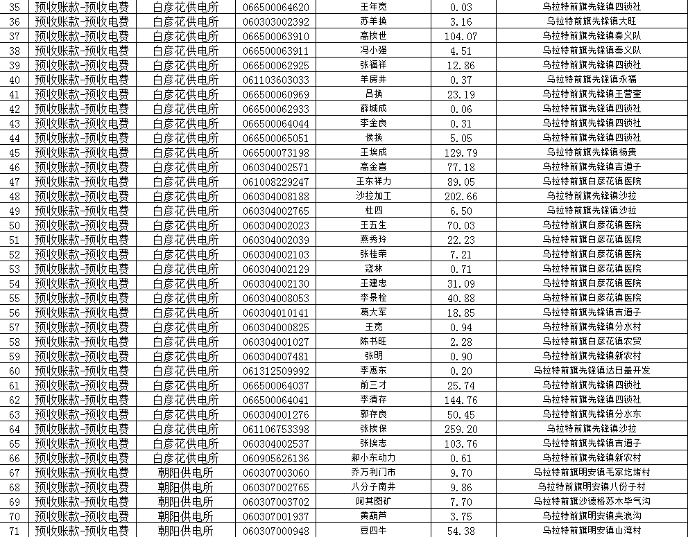
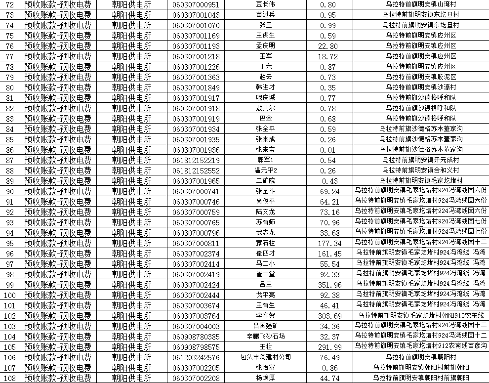
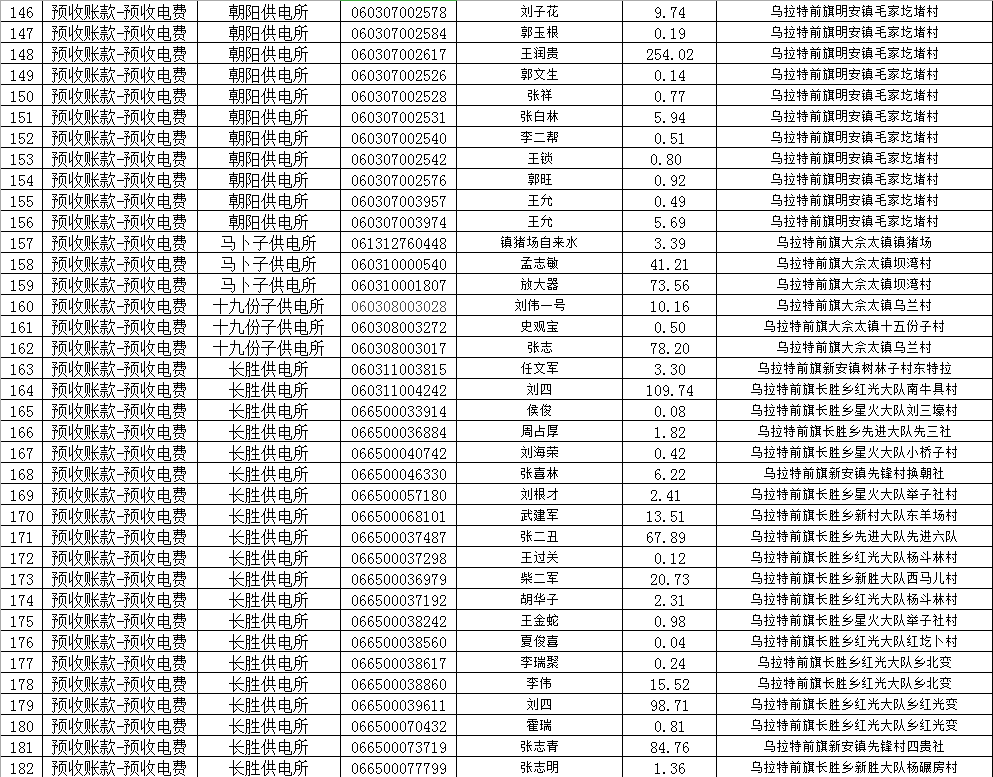
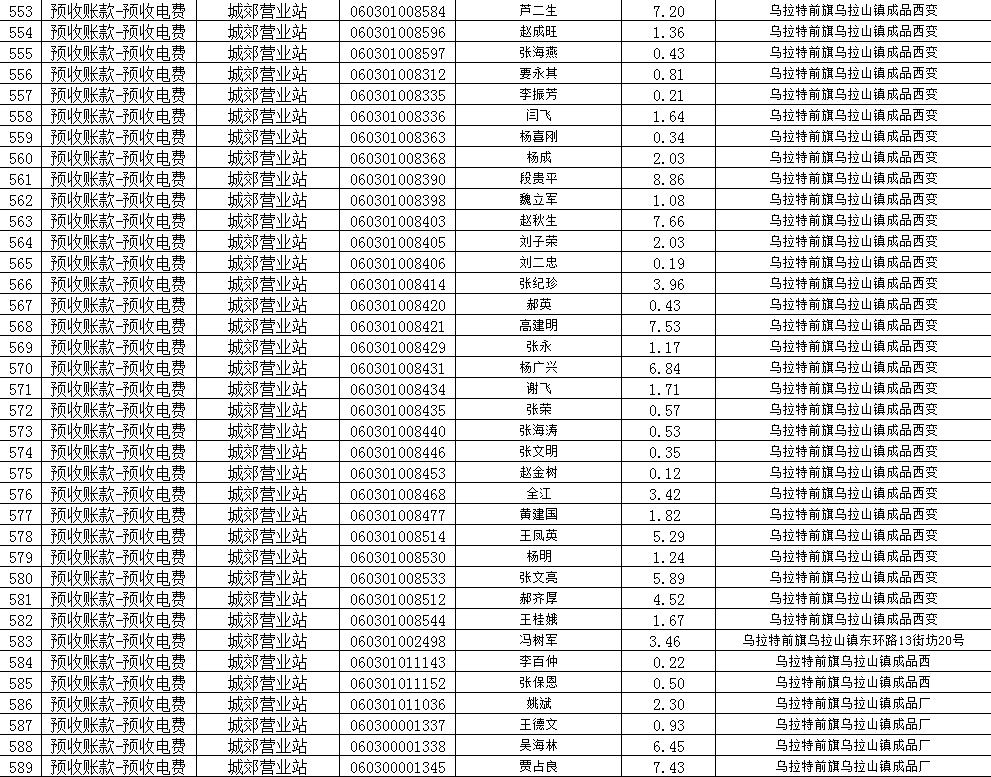
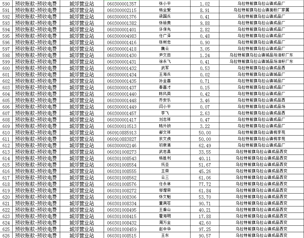
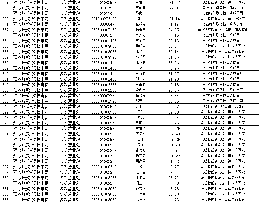
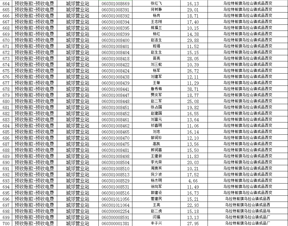
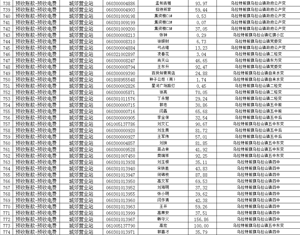
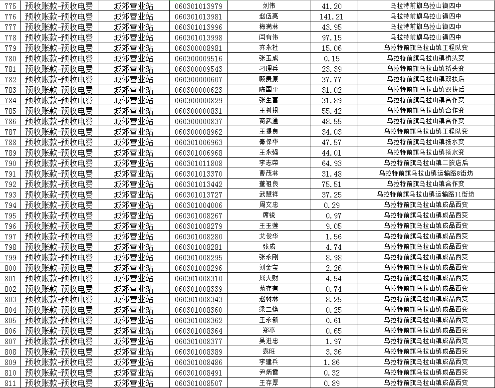
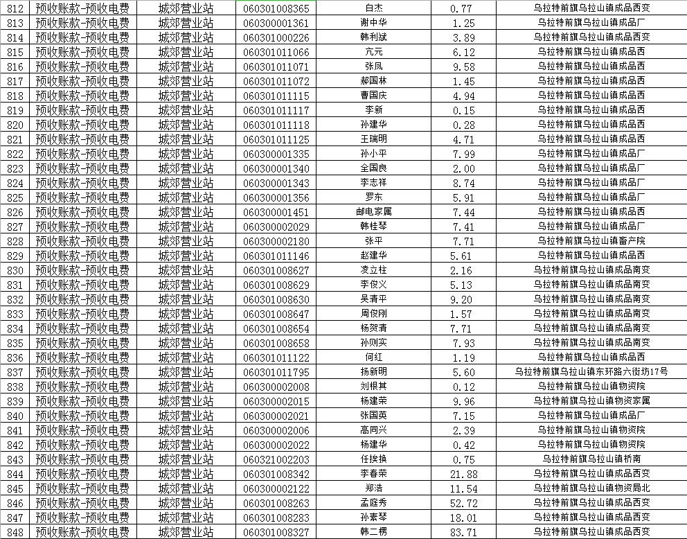
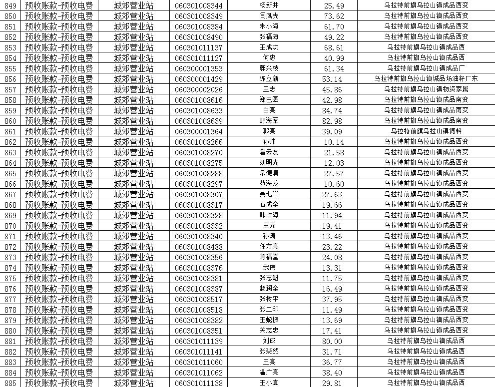
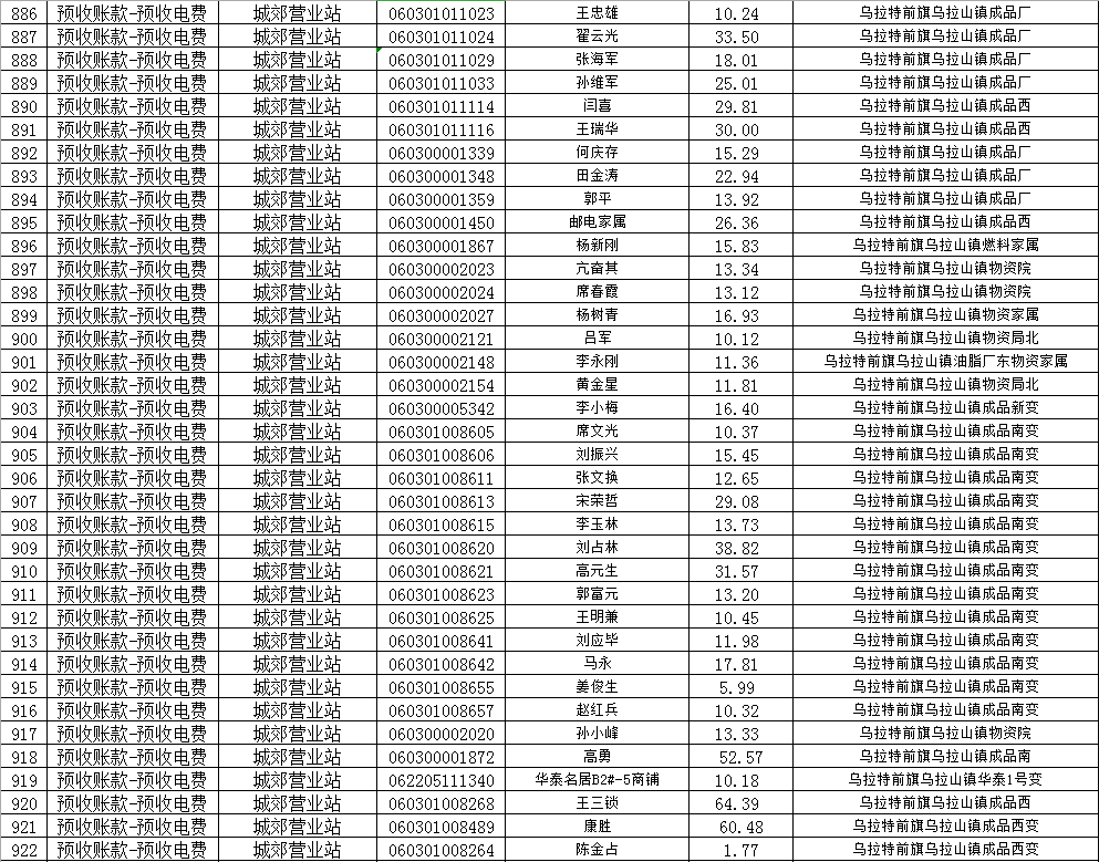
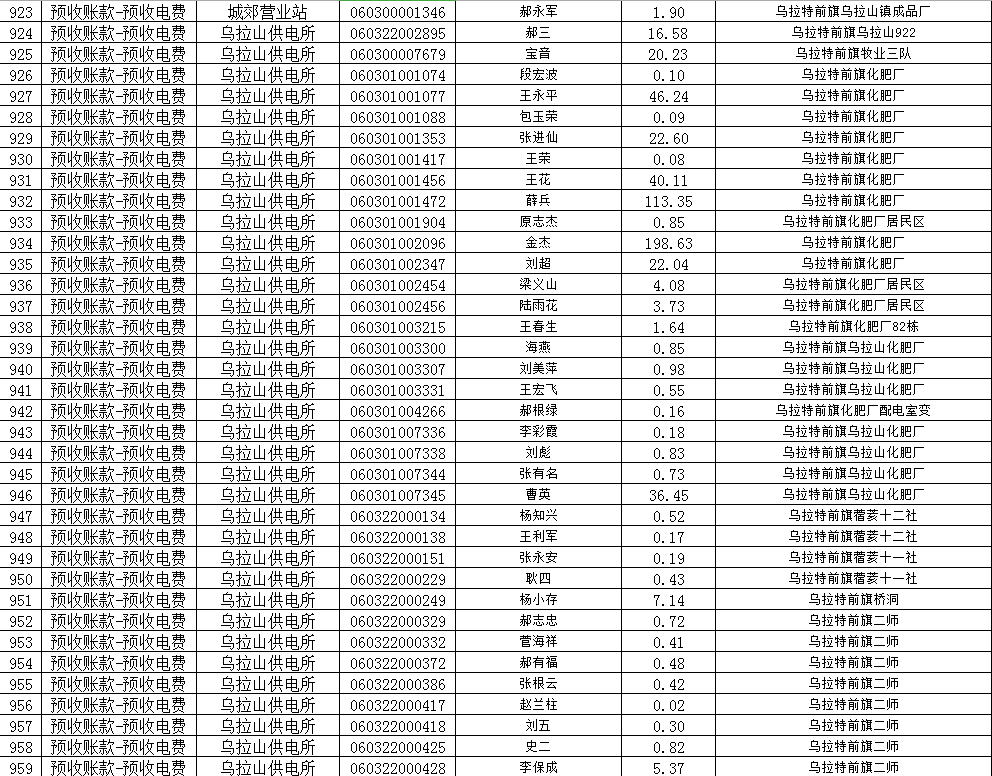
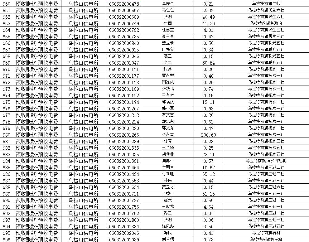
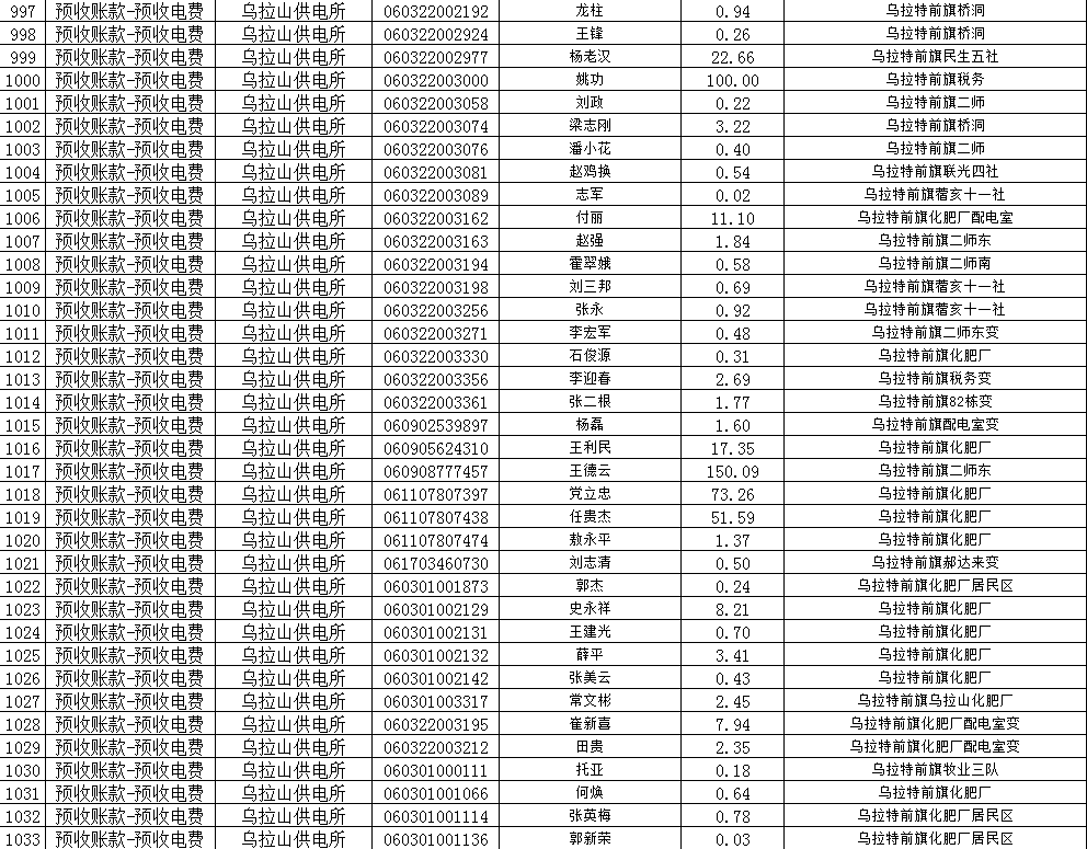
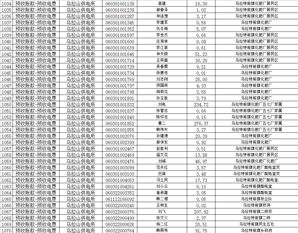
乌拉特前旗供电公司依据巴彦淖尔供电公司《关于开展2023年电费往来款项专项清理核销工作的通知》的文件要求,对乌拉特前旗供电公司辖区内一年及以上拆迁用户和三年及以上无发行电费且有电费余额的用电客户开展核销工作,经供电公司核查,有 1098户符合核销条件的电力客户(见附件),且电费账户均存在有余额。请电费销核名单中的电力客户在公示发布15日内到乌拉特前旗供电公司所属电力营业厅办理电费余额销退手续,逾期供电公司将按照巴彦淖尔供电公司电费账务核销流程,对电费余额开展核销工作。
特此公示
乌拉特前旗供电分公司
2023年10月30日
附件






























上一篇:
内蒙古自治区生态环境保护督察公告
下一篇:
关于注销相关协会的公示

